朱德的“借款信”
發布時間:2025-12-22
來源:中國軍網-解放軍報
分享到 :

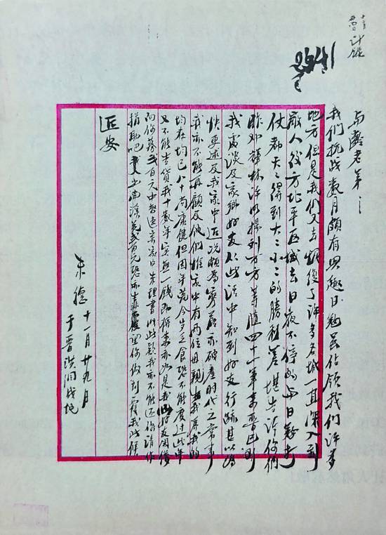
1937年11月29日,朱德寫給戴與齡的信。中央檔案館藏
作為人民軍隊總司令的朱德,離家一別十余年,家事自然也挂念。全國抗戰爆發不久,1937年9月5日,朱德給家裡寫信,希望家人接到書信后,告訴他家裡的情況。同時,他囑托侄子如果到前線來,需要帶些錢來,因為自己沒有一文錢。27日,他復信給家裡,問及兒子、侄子、外甥等人在干什麼,要培養他們參加革命,還囑托說“那些望升官發財之人決不宜來我處,如欲愛國犧牲一切能吃勞苦之人,無妨多來”。
不久,其外甥隨軍隊來到山西,朱德得知家裡的情況。11月29日,朱德給其兒時好友戴與齡寫了一封信。信中說:“家中近況頗為寥落,亦破產時代之常事,我亦不能再顧及他們。惟家中有兩位母親,生我養我的均在,均已八十,尚康健。但因年荒,今歲乏食,恐不能度過此年,又不能告貸。我十數年實無一錢,即將來亦如是。我以好友關系,向你募兩百元中幣,速寄家中……此款我亦不能還你,請作捐助吧。”
接到這封求助信后,戴與齡立即給朱德母親寄去200元,幫助她們渡過難關。后來戴與齡還多次幫助朱德的親屬,並動員自己的親屬奔赴抗日前線。他相信朱德要走的路和要做的事是正確的。
2016年11月29日,習主席在紀念朱德同志誕辰130周年座談會上講到這件事時說:“戰功赫赫的八路軍總司令清貧如此、清廉如此,讓人肅然起敬!”
(圖文由中央檔案館提供)
來源:《解放軍報》2025年12月22日
